№593 ГДЗ Атанасян 7-9 класс по геометрии (Геометрия)

Решение #1

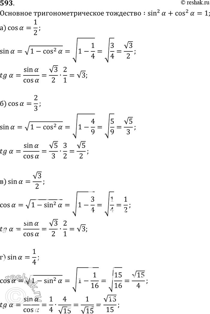
Изображение Найдите: a) sin a и tga, если cosa = 1/2; 6) sin a и tga, если cosa =2/3; в) cos a и tga, если sina =корень3/2; r) cos a и tga, если sin a =...

Рассмотрим вариант решения задания из учебника Атанасян, Бутузов 8 класс, Просвещение:
Найдите: a) sin a и tga, если cosa = 1/2; 6) sin a и tga, если cosa =2/3; в) cos a и tga, если sina =корень3/2; r) cos a и tga, если sin a = 1/4.
*Цитирирование задания со ссылкой на учебник производится исключительно в учебных целях для лучшего понимания разбора решения задания.
*размещая тексты в комментариях ниже, вы автоматически соглашаетесь с пользовательским соглашением